Официальное опубликование правовых актов
ОФИЦИАЛЬНОЕ ОПУБЛИКОВАНИЕ
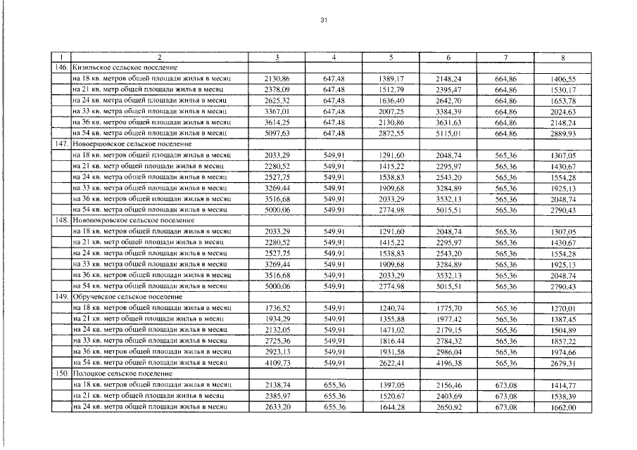
Постановление Правительства Челябинской области от 28.05.2019 № 225-П
"О региональных стандартах стоимости жилищно-коммунальных услуг по Челябинской области на 2019 год"
Номер опубликования: 7400201905300027
Дата опубликования: 30.05.2019
Страница №232 из 265:
Увеличить