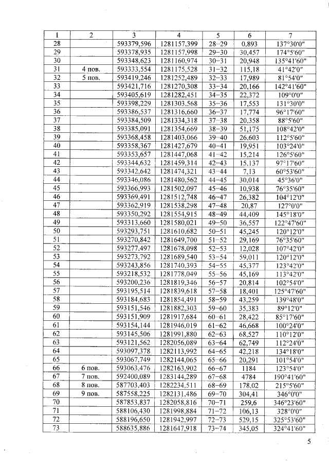
Постановление Законодательного Собрания Челябинской области от 27.03.2019 № 1820
"О внесении изменений в приложение 3 к постановлению Законодательного Собрания Челябинской области "Об установлении границы памятника природы Челябинской области пещеры Ериклинской (Точильной)" и приложение 3 к постановлению Законодательного Собрания Челябинской области "Об установлении границы памятника природы Челябинской области участка нагорных дубрав в окрестностях города Сима"
"О внесении изменений в приложение 3 к постановлению Законодательного Собрания Челябинской области "Об установлении границы памятника природы Челябинской области пещеры Ериклинской (Точильной)" и приложение 3 к постановлению Законодательного Собрания Челябинской области "Об установлении границы памятника природы Челябинской области участка нагорных дубрав в окрестностях города Сима"
Номер опубликования: 7400201904010004
Дата опубликования:
01.04.2019
