Официальное опубликование правовых актов
ОФИЦИАЛЬНОЕ ОПУБЛИКОВАНИЕ
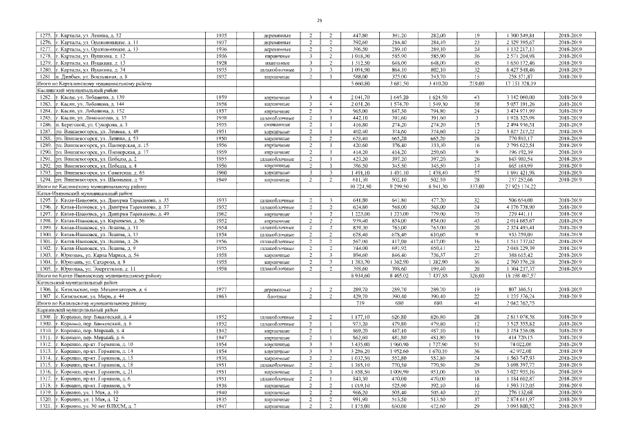
Постановление Правительства Челябинской области от 07.02.2019 № 43-П
"О внесении изменений в постановление Правительства Челябинской области от 30.09.2016 г. № 526-П"
Номер опубликования: 7400201902080004
Дата опубликования: 08.02.2019
Страница №450 из 654:
Увеличить