Официальное опубликование правовых актов
ОФИЦИАЛЬНОЕ ОПУБЛИКОВАНИЕ
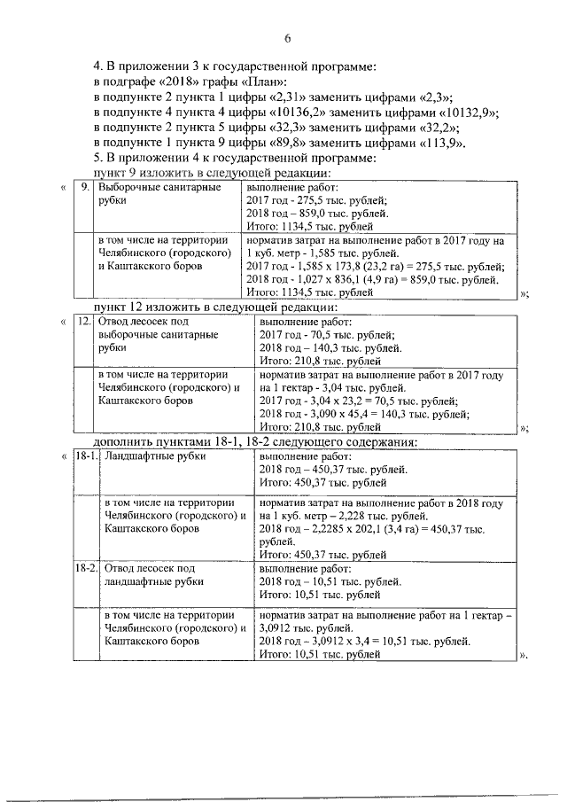
Постановление Правительства Челябинской области от 31.07.2018 № 353-П
"О внесении изменений в постановление Правительства Челябинской области от 22.10.2013 г. № 363-П"
Номер опубликования: 7400201808030012
Дата опубликования: 03.08.2018
Страница №7 из 7:
Увеличить