Официальное опубликование правовых актов
ОФИЦИАЛЬНОЕ ОПУБЛИКОВАНИЕ
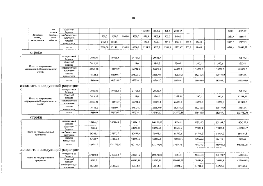
Постановление Правительства Челябинской области от 20.06.2018 № 282-П
"О внесении изменений в постановление Правительства Челябинской области от 22.10.2013 г. № 363-П"
Номер опубликования: 7400201806210010
Дата опубликования: 21.06.2018
Страница №11 из 22:
Увеличить