Официальное опубликование правовых актов
ОФИЦИАЛЬНОЕ ОПУБЛИКОВАНИЕ
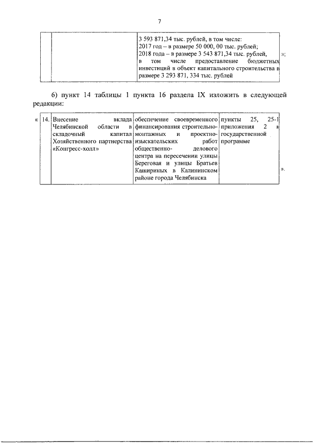
Постановление Правительства Челябинской области от 08.06.2018 № 264-П
"О внесении изменений в постановление Правительства Челябинской области от 21.12.2016 г. № 717-П"
Номер опубликования: 7400201806080018
Дата опубликования: 08.06.2018
Страница №8 из 8:
Увеличить