Постановление Губернатора Челябинской области от 10.07.2017 № 139
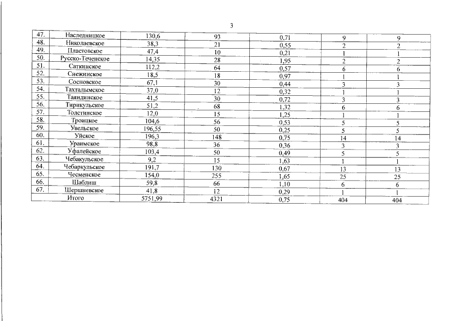
"Об утверждении лимита и квот добычи барсука, бурого медведя в Челябинской области на период с 1 августа 2017 года до 1 августа 2018 года"
"Об утверждении лимита и квот добычи барсука, бурого медведя в Челябинской области на период с 1 августа 2017 года до 1 августа 2018 года"
Номер опубликования: 7400201707110003
Дата опубликования:
11.07.2017
