Официальное опубликование правовых актов
ОФИЦИАЛЬНОЕ ОПУБЛИКОВАНИЕ
Постановление Правительства Челябинской области от 15.06.2016 № 305-П
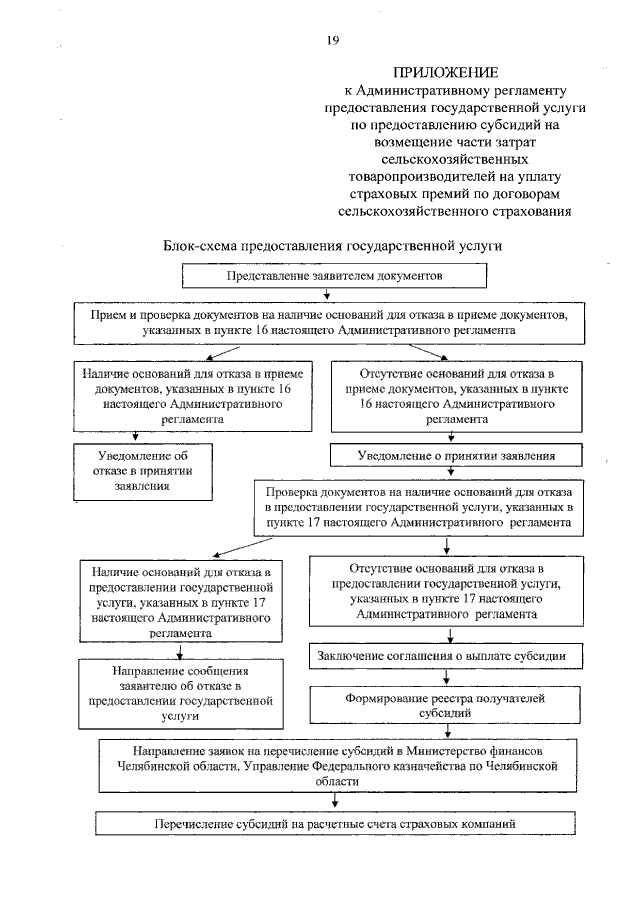
"Об Административном регламенте предоставления государственной услуги по предоставлению субсидий на возмещение части затрат сельскохозяйственных товаропроизводителей на уплату страховых премий по договорам сельскохозяйственного страхования"
Номер опубликования: 7400201606160004
Дата опубликования: 16.06.2016
Страница №21 из 21:
Увеличить