Официальное опубликование правовых актов
ОФИЦИАЛЬНОЕ ОПУБЛИКОВАНИЕ
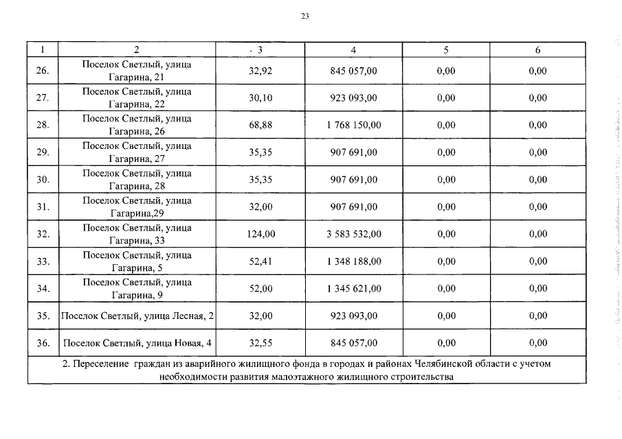
Постановление Правительства Челябинской области от 02.06.2016 № 293-П
"О внесении изменений в постановление Правительства Челябинской области от 19.12.2012 г. № 679-П"
Номер опубликования: 7400201606030003
Дата опубликования: 03.06.2016
Страница №161 из 286:
Увеличить