Официальное опубликование правовых актов
ОФИЦИАЛЬНОЕ ОПУБЛИКОВАНИЕ
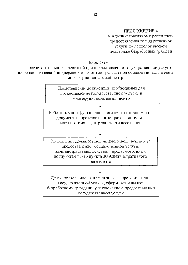
Постановление Правительства Челябинской области от 16.12.2015 № 660-П
"Об Административном регламенте предоставления государственной услуги по психологической поддержке безработных граждан"
Номер опубликования: 7400201512210011
Дата опубликования: 21.12.2015
Страница №33 из 33:
Увеличить