Официальное опубликование правовых актов
ОФИЦИАЛЬНОЕ ОПУБЛИКОВАНИЕ
Постановление Правительства Челябинской области от 17.11.2015 № 604-П
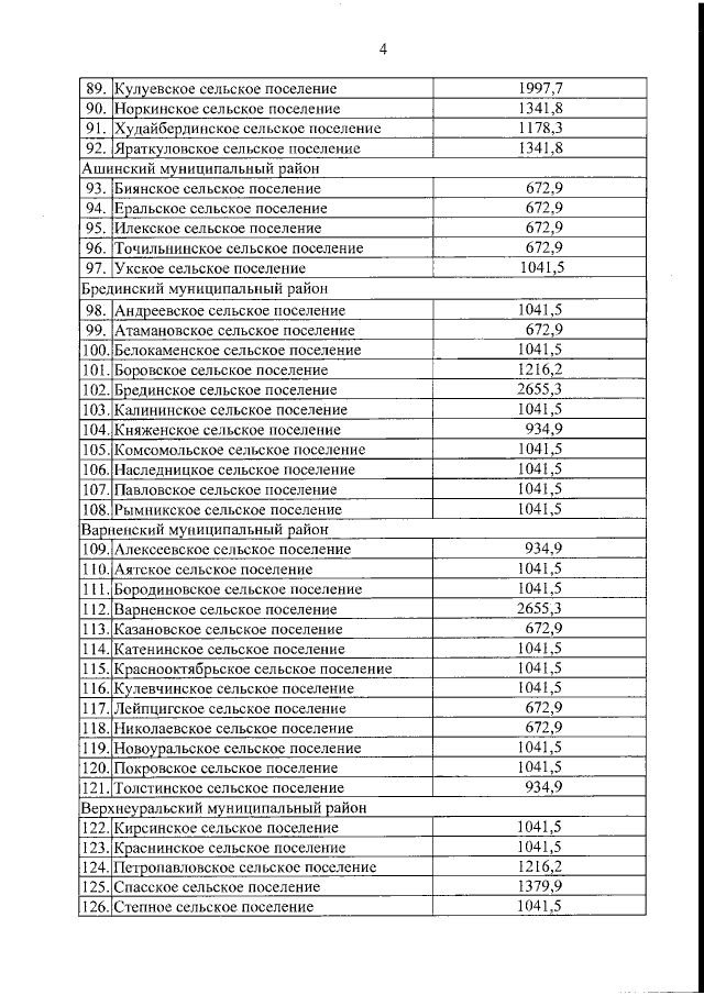
"О нормативах формирования расходов бюджетов городских округов, муниципальных районов, внутригородских районов, городских и сельских поселений Челябинской области на оплату труда депутатов, выборных должностных лиц местного самоуправления, осуществляющих свои полномочия на постоянной основе, и муниципальных служащих на 2016 год"
Номер опубликования: 7400201511180001
Дата опубликования: 18.11.2015
Страница №5 из 10:
Увеличить