Официальное опубликование правовых актов
ОФИЦИАЛЬНОЕ ОПУБЛИКОВАНИЕ
Постановление Губернатора Челябинской области от 07.07.2015 № 194
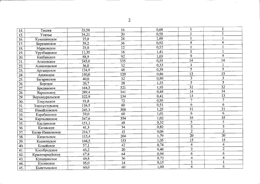
"Об утверждении лимита и квот добычи барсука, бурого медведя в Челябинской области на период с 1 августа 2015 года до 1 августа 2016 года"
Номер опубликования: 7400201507080002
Дата опубликования: 08.07.2015
Страница №4 из 7:
Увеличить