Официальное опубликование правовых актов
ОФИЦИАЛЬНОЕ ОПУБЛИКОВАНИЕ
Приказ Министерства имущественных отношений, градостроительной деятельности и цифрового развития Ульяновской области от 03.03.2026 № 46-пр
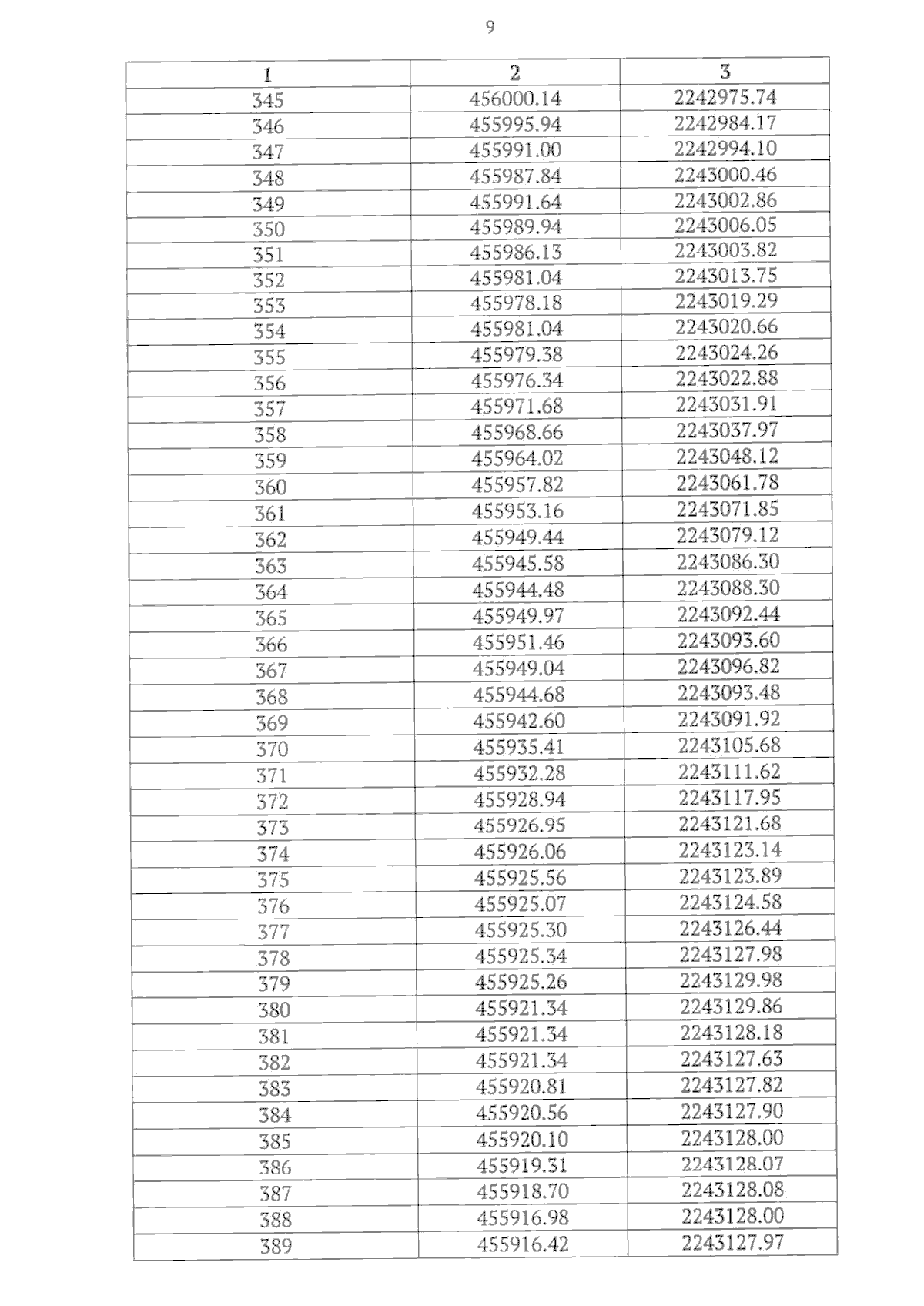
"Об утверждении границы охранной зоны внутрипоселкового газопровода в с. Риновка Тереньгульского района Ульяновской области по ул. Ленина, ул. Родниковая, ул. Полевая, протяженностью 3511 м, местоположение: Российская Федерация, Ульяновская область, Тереньгульский район, с. Риновка, ул. Ленина, ул. Родниковая, ул. Полевая и наложении ограничений (обременений) на входящие в неё земельные участки"
Номер опубликования: 7301202603130008
Дата опубликования: 13.03.2026
Страница №11 из 30:
Увеличить