Официальное опубликование правовых актов
ОФИЦИАЛЬНОЕ ОПУБЛИКОВАНИЕ
Приказ Министерства имущественных отношений, градостроительной деятельности и цифрового развития Ульяновской области от 26.12.2025 № 134-пр
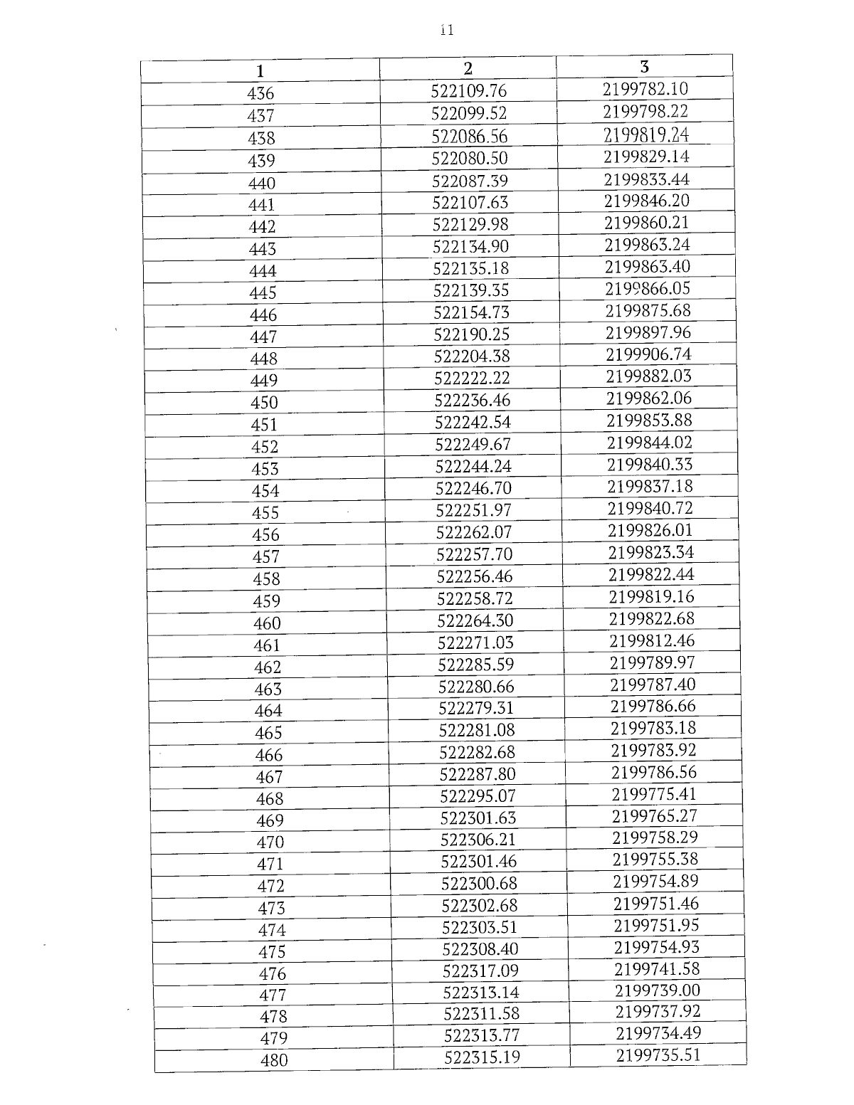
"Об утверждении границы охранной зоны внутрипоселкового газопровода по ул. Верхняя, ул. Кочетовка, ул. Нижняя, ул. Конопляновка, ул. Московская в с. Чуфарово Майнского района Ульяновской области, протяженностью 6177 м, местоположение: Российская Федерация, Ульяновская область, Майнский р-н, с. Чуфарово и наложении ограничений (обременений) на входящие в неё земельные участки"
Номер опубликования: 7301202512300004
Дата опубликования: 30.12.2025
Страница №13 из 24:
Увеличить