Официальное опубликование правовых актов
ОФИЦИАЛЬНОЕ ОПУБЛИКОВАНИЕ
Приказ Министерства жилищно-коммунального хозяйства и строительства Ульяновской области от 02.12.2025 № 50-П
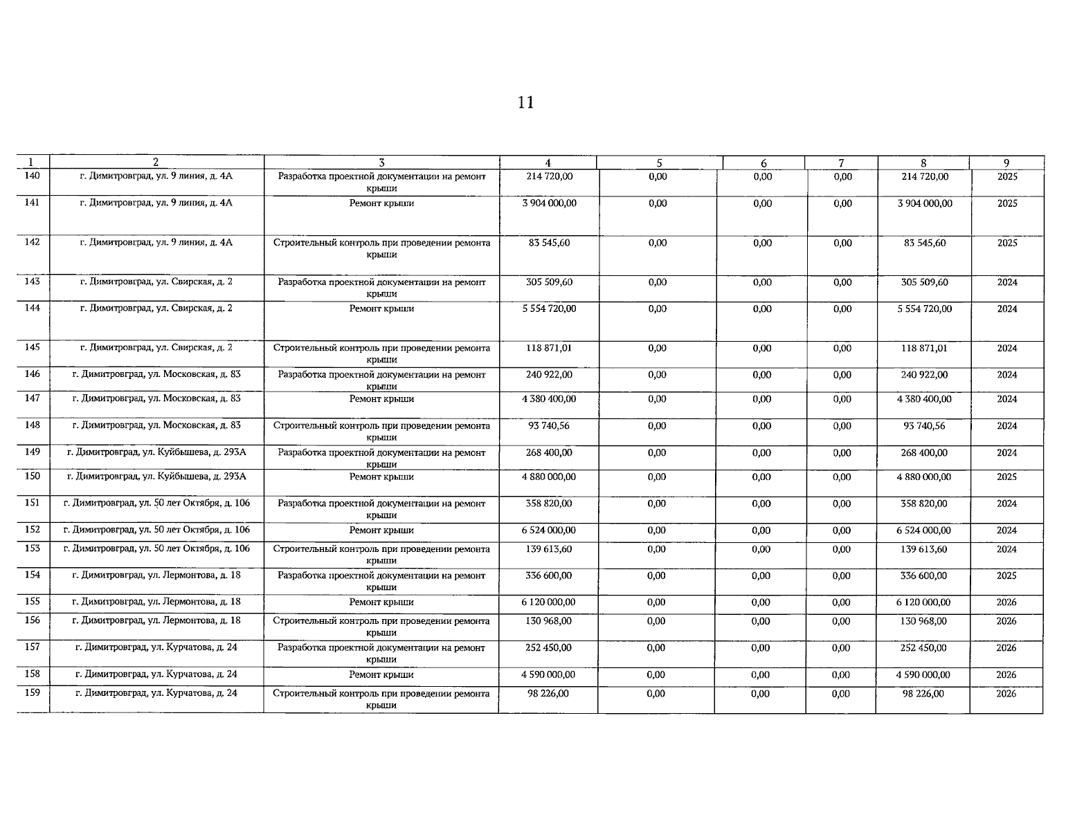
"Об утверждении краткосрочного плана реализации в 2024-2026 годах региональной программы капитального ремонта общего имущества в многоквартирных домах, расположенных на территории Ульяновской области"
(Зарегистрирован 02.12.2025 № ГР-07/50)
Номер опубликования: 7301202512090001
Дата опубликования: 09.12.2025
Страница №11 из 101:
Увеличить