Официальное опубликование правовых актов
ОФИЦИАЛЬНОЕ ОПУБЛИКОВАНИЕ
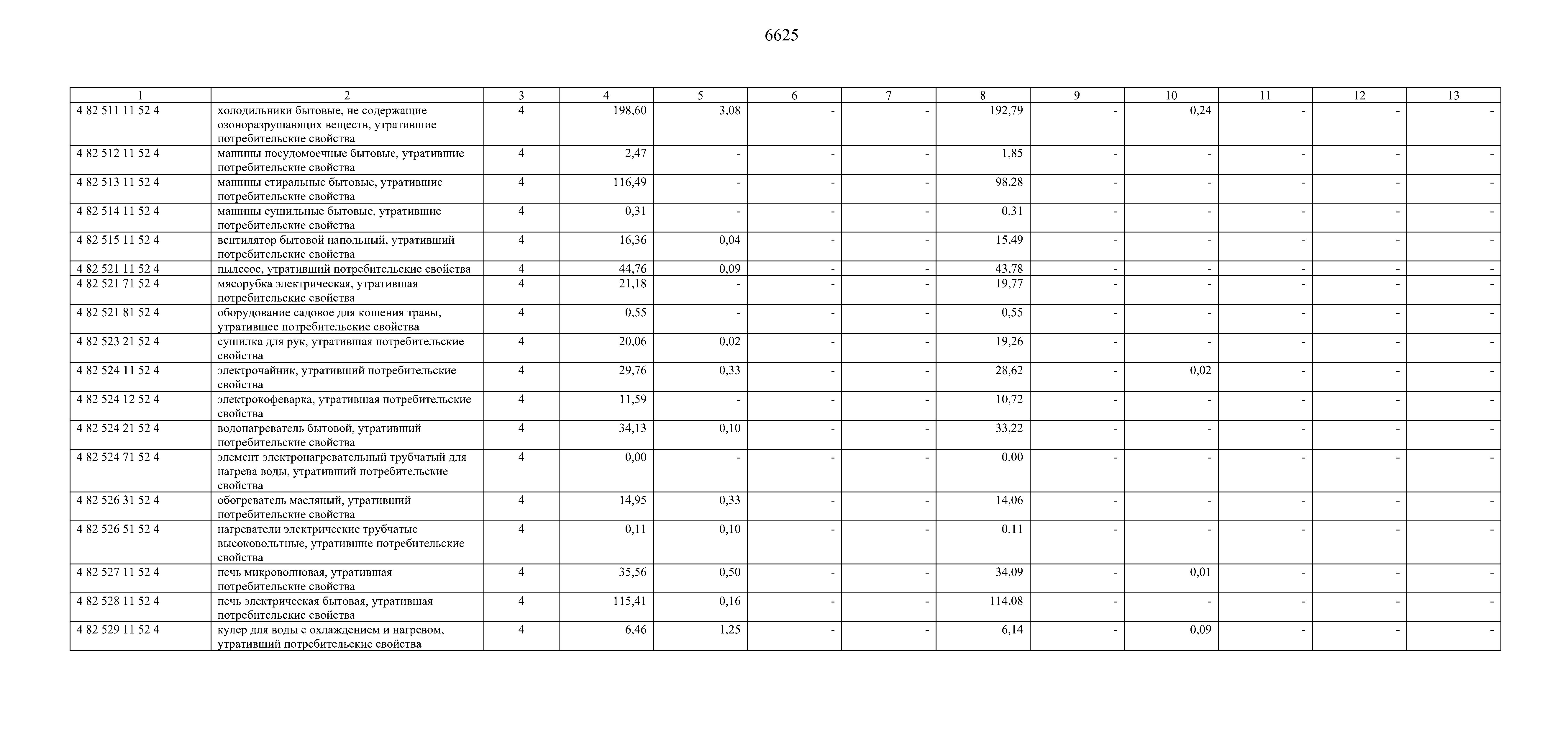
Приказ Министерства жилищно-коммунального хозяйства и строительства Ульяновской области от 22.11.2024 № 59-П
"Об утверждении территориальной схемы обращения с отходами Ульяновской области"
(Зарегистрирован 22.11.2024 № ГР-07/59)
Номер опубликования: 7301202411270006
Дата опубликования: 27.11.2024
Страница №6626 из 6934: