Официальное опубликование правовых актов
ОФИЦИАЛЬНОЕ ОПУБЛИКОВАНИЕ
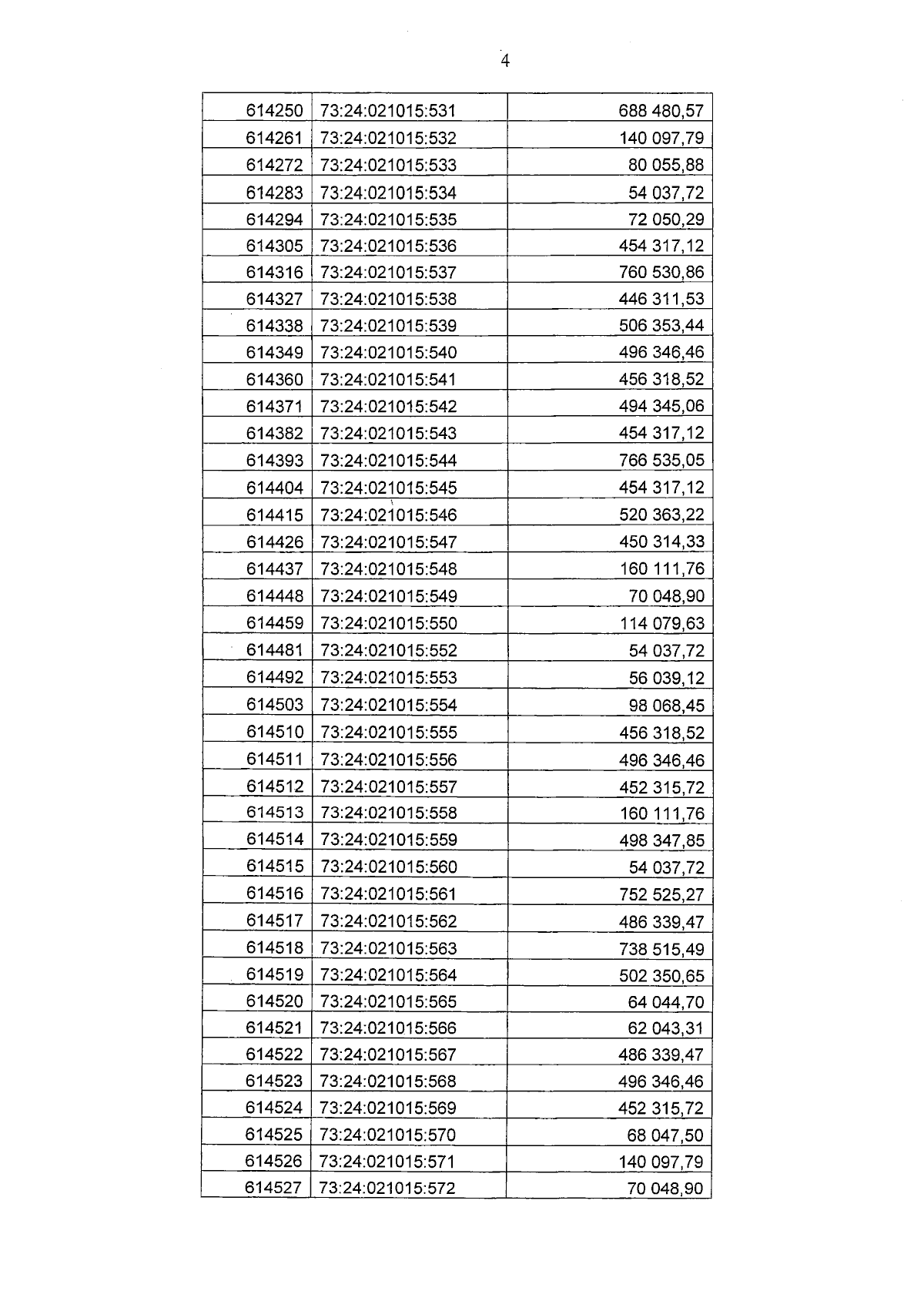
Приказ Министерства имущественных отношений и архитектуры Ульяновской области от 28.06.2024 № 236-пр
"О внесении изменений в приказ Министерства имущественных отношений и архитектуры Ульяновской области от 10.11.2023 № 159-пр"
Номер опубликования: 7301202407010007
Дата опубликования: 01.07.2024
Страница №4 из 6:
Увеличить