Официальное опубликование правовых актов
ОФИЦИАЛЬНОЕ ОПУБЛИКОВАНИЕ
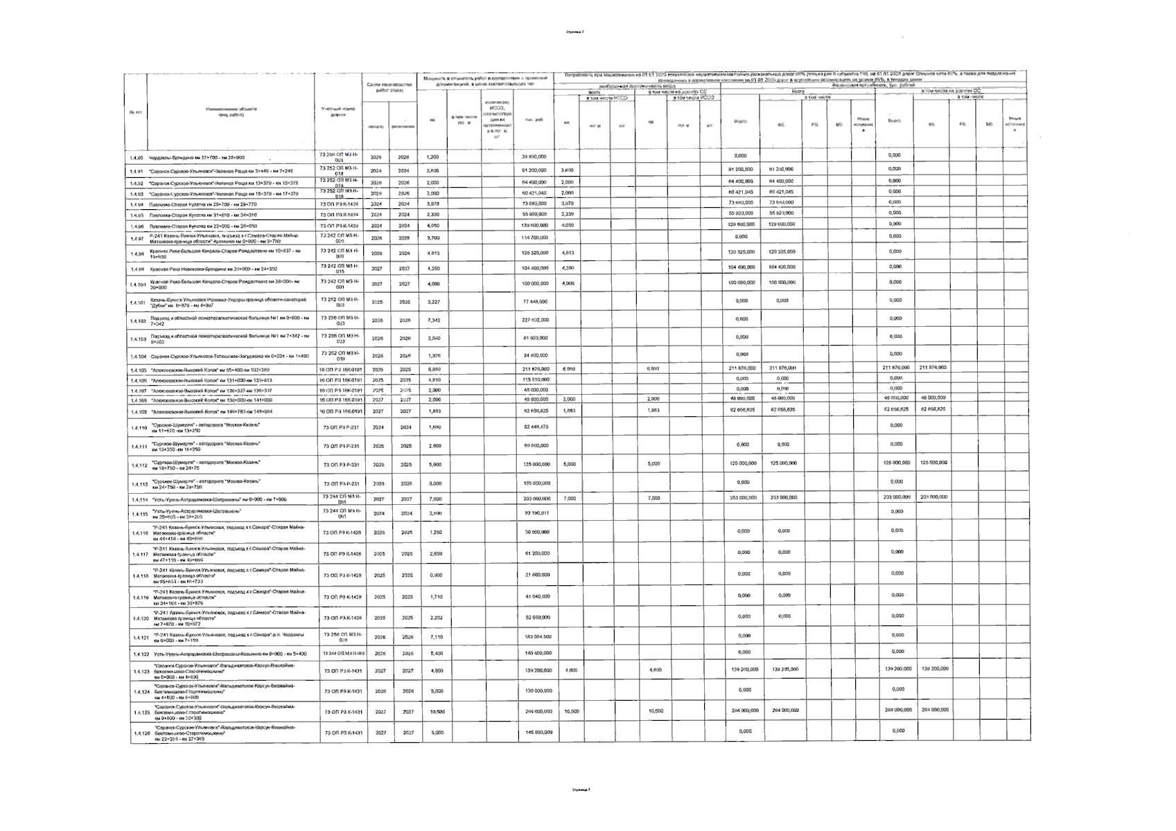
Приказ Министерства транспорта Ульяновской области от 08.04.2024 № 5
"Об утверждении Программы дорожной деятельности Ульяновской области на период с 2024 по 2028 годы"
(Зарегистрирован 08.04.2024 № ГР-06/5)
Номер опубликования: 7301202404090008
Дата опубликования: 09.04.2024
Страница №8 из 14:
Увеличить