Официальное опубликование правовых актов
ОФИЦИАЛЬНОЕ ОПУБЛИКОВАНИЕ
Приказ Министерства жилищно-коммунального хозяйства и строительства Ульяновской области от 06.07.2023 № 18-од
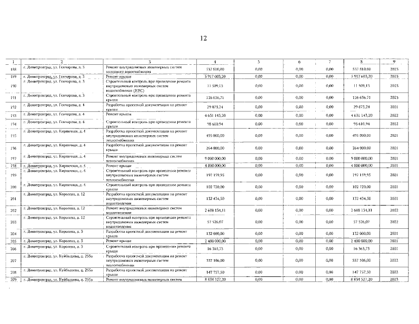
"Об утверждении на 2021-2023 годы краткосрочного плана реализации региональной программы капитального ремонта общего имущества в многоквартирных домах, расположенных на территории Ульяновской области, на 2014-2044 годы"
(Зарегистрирован 06.07.2023 № ГР-07/18)
Номер опубликования: 7301202307070004
Дата опубликования: 07.07.2023
Страница №13 из 83:
Увеличить