Официальное опубликование правовых актов
ОФИЦИАЛЬНОЕ ОПУБЛИКОВАНИЕ
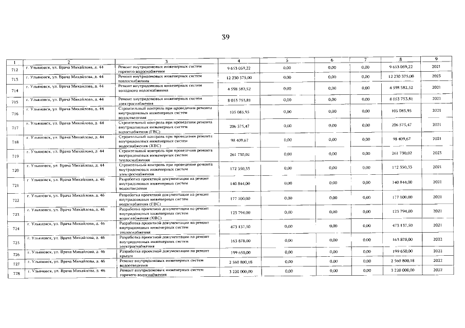
Приказ Министерства жилищно-коммунального хозяйства и строительства Ульяновской области от 06.10.2022 № 24-од
"Об утверждении на 2021-2023 годы краткосрочного плана реализации региональной программы капитального ремонта общего имущества в многоквартирных домах, расположенных на территории Ульяновской области, на 2014-2044 годы"
Номер опубликования: 7301202210100003
Дата опубликования: 10.10.2022
Страница №40 из 86:
Увеличить