Официальное опубликование правовых актов
ОФИЦИАЛЬНОЕ ОПУБЛИКОВАНИЕ
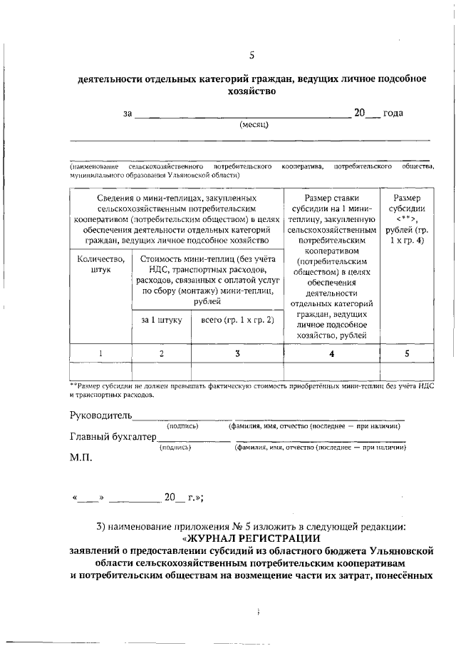
Приказ Министерства агропромышленного комплекса и развития сельских территорий Ульяновской области от 26.11.2021 № 45
"О внесении изменений в отдельные нормативные правовые акты Министерства сельского, лесного хозяйства и природных ресурсов Ульяновской области"
Номер опубликования: 7301202111290004
Дата опубликования: 29.11.2021
Страница №5 из 10:
Увеличить