Официальное опубликование правовых актов
ОФИЦИАЛЬНОЕ ОПУБЛИКОВАНИЕ
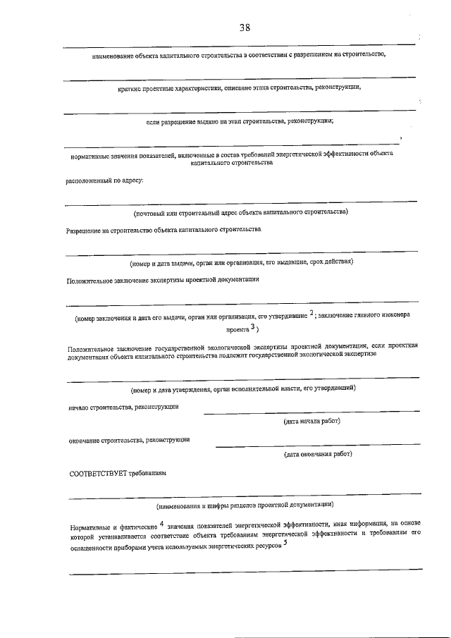
Приказ Агентства государственного строительного и жилищного надзора Ульяновской области от 26.03.2021 № 5-п
"О внесении изменений в приказ Агентства регионального государственного строительного надзора и государственной экспертизы Ульяновской области от 29.03.2019 № 2-п"
Номер опубликования: 7301202104010006
Дата опубликования: 01.04.2021
Страница №38 из 43:
Увеличить