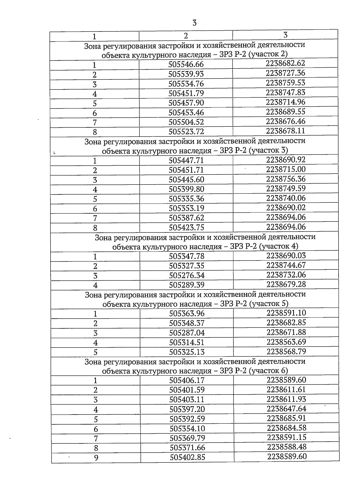
Постановление Правительства Ульяновской области от 05.11.2025 № 599-П
"Об утверждении границ зон охраны объекта культурного наследия регионального значения "Богоявленская церковь", расположенного по адресу: г. Ульяновск, Засвияжский район (с. Арское), ул. Мира, 12, и требований к градостроительным регламентам в границах данных зон"
"Об утверждении границ зон охраны объекта культурного наследия регионального значения "Богоявленская церковь", расположенного по адресу: г. Ульяновск, Засвияжский район (с. Арское), ул. Мира, 12, и требований к градостроительным регламентам в границах данных зон"
Номер опубликования: 7300202511050013
Дата опубликования:
05.11.2025
