Официальное опубликование правовых актов
ОФИЦИАЛЬНОЕ ОПУБЛИКОВАНИЕ
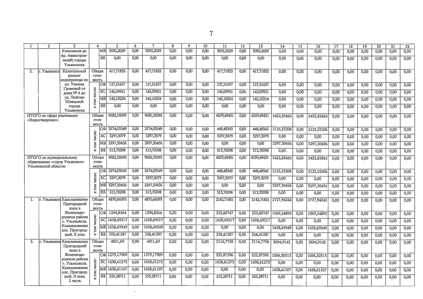
Постановление Правительства Ульяновской области от 10.07.2025 № 367-П
"О внесении изменений в региональную программу Ульяновской области "Модернизация систем коммунальной инфраструктуры в Ульяновской области на 2023-2027 годы"
Номер опубликования: 7300202507140002
Дата опубликования: 14.07.2025
Страница №7 из 10:
Увеличить