Официальное опубликование правовых актов
ОФИЦИАЛЬНОЕ ОПУБЛИКОВАНИЕ
Постановление Правительства Ульяновской области от 28.05.2025 № 253-П
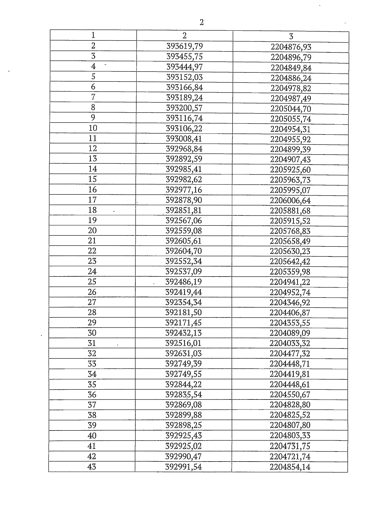
"Об утверждении предмета охраны, границ территории и требований к градостроительным регламентам в границах территории исторического поселения регионального значения село Троицкий Сунгур Новоспасского района"
Номер опубликования: 7300202505300007
Дата опубликования: 30.05.2025
Страница №6 из 12:
Увеличить