Официальное опубликование правовых актов
ОФИЦИАЛЬНОЕ ОПУБЛИКОВАНИЕ
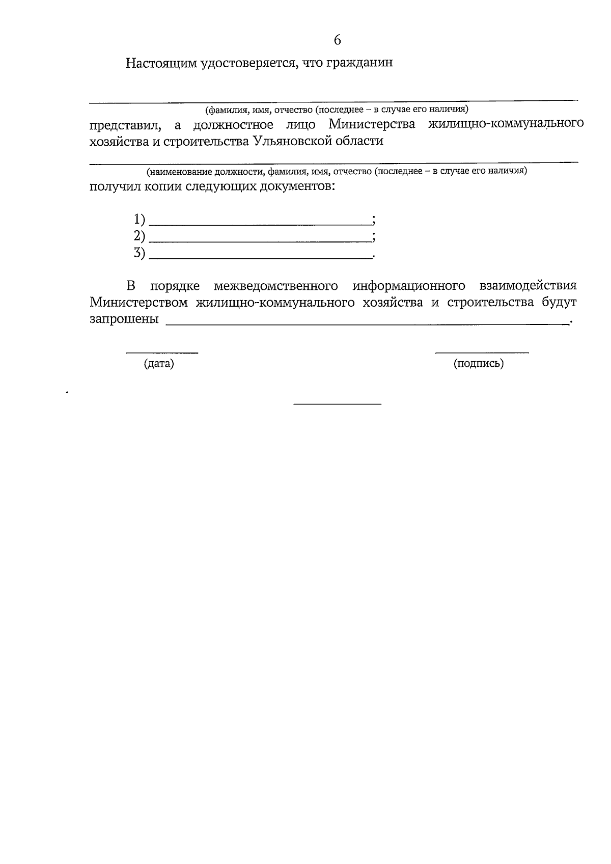
Постановление Правительства Ульяновской области от 14.04.2025 № 174-П
"О внесении изменений в постановление Правительства Ульяновской области от 30.07.2018 № 345-П"
Номер опубликования: 7300202504140006
Дата опубликования: 14.04.2025
Страница №6 из 9:
Увеличить