Официальное опубликование правовых актов
ОФИЦИАЛЬНОЕ ОПУБЛИКОВАНИЕ
Постановление Правительства Ульяновской области от 04.03.2025 № 97-П
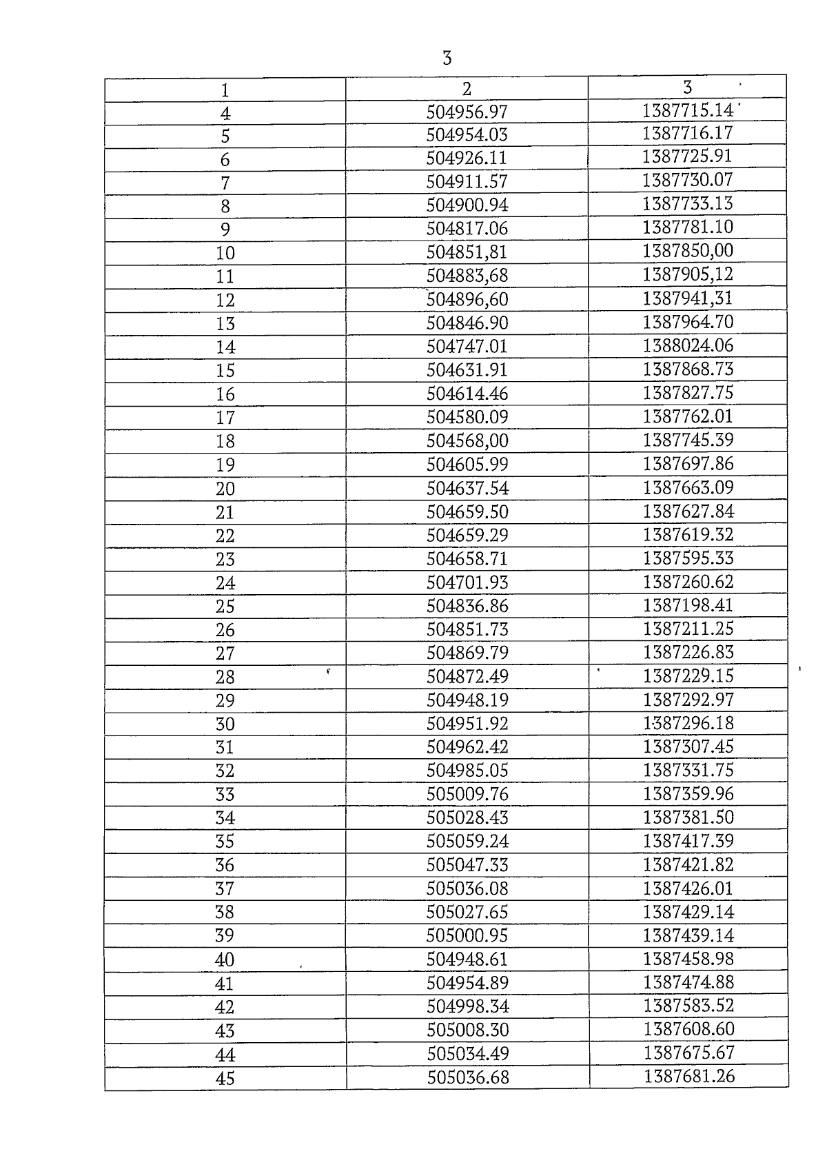
"Об утверждении границ территории объекта культурного наследия (памятника истории и культуры) народов Российской Федерации регионального значения "Языковский парк, принадлежавший поэту Н.М.Языкову, в котором осенью 1833 г. дважды был А.С.Пушкин", расположенного по адресу: Ульяновская область, Карсунский район, р.п. Языково"
Номер опубликования: 7300202503050002
Дата опубликования: 05.03.2025
Страница №4 из 6:
Увеличить