Официальное опубликование правовых актов
ОФИЦИАЛЬНОЕ ОПУБЛИКОВАНИЕ
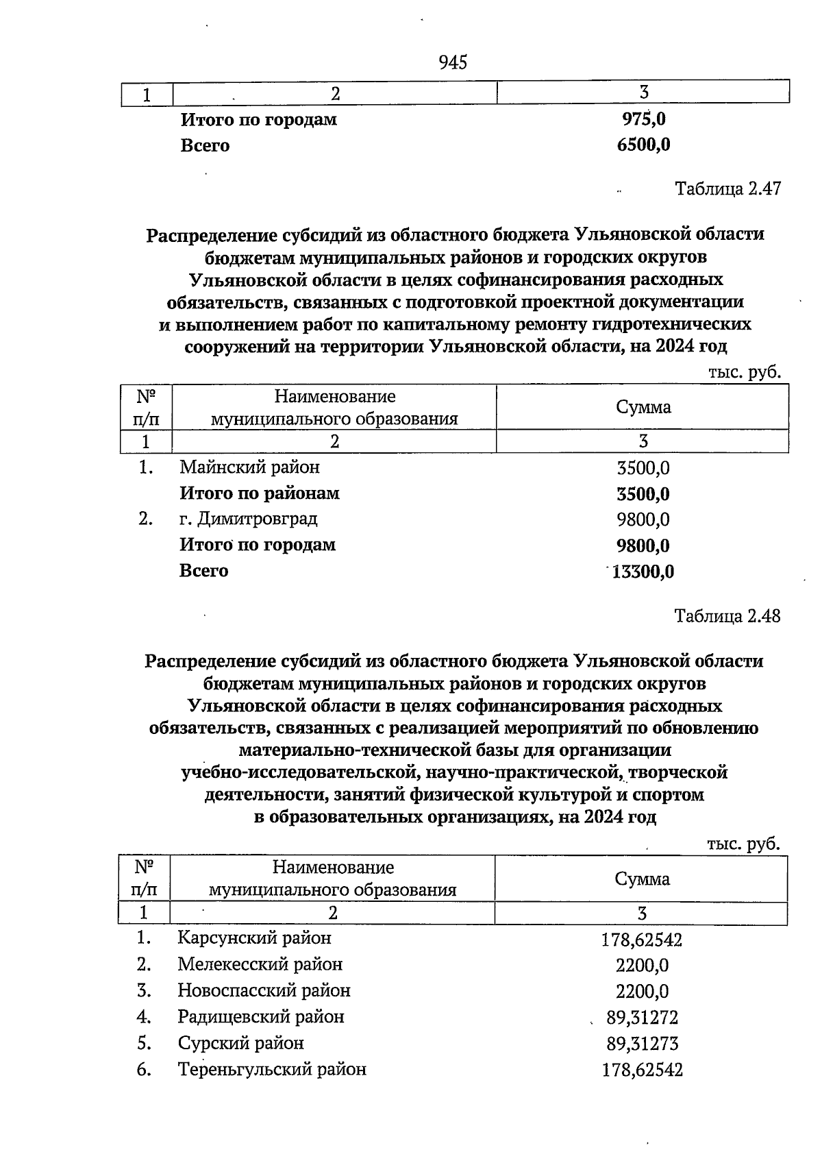
Закон Ульяновской области от 16.02.2024 № 7-ЗО
"О внесении изменений в Закон Ульяновской области "Об областном бюджете Ульяновской области на 2024 год и на плановый период 2025 и 2026 годов"
Номер опубликования: 7300202402200002
Дата опубликования: 20.02.2024
Страница №945 из 963:
Увеличить