Официальное опубликование правовых актов
ОФИЦИАЛЬНОЕ ОПУБЛИКОВАНИЕ
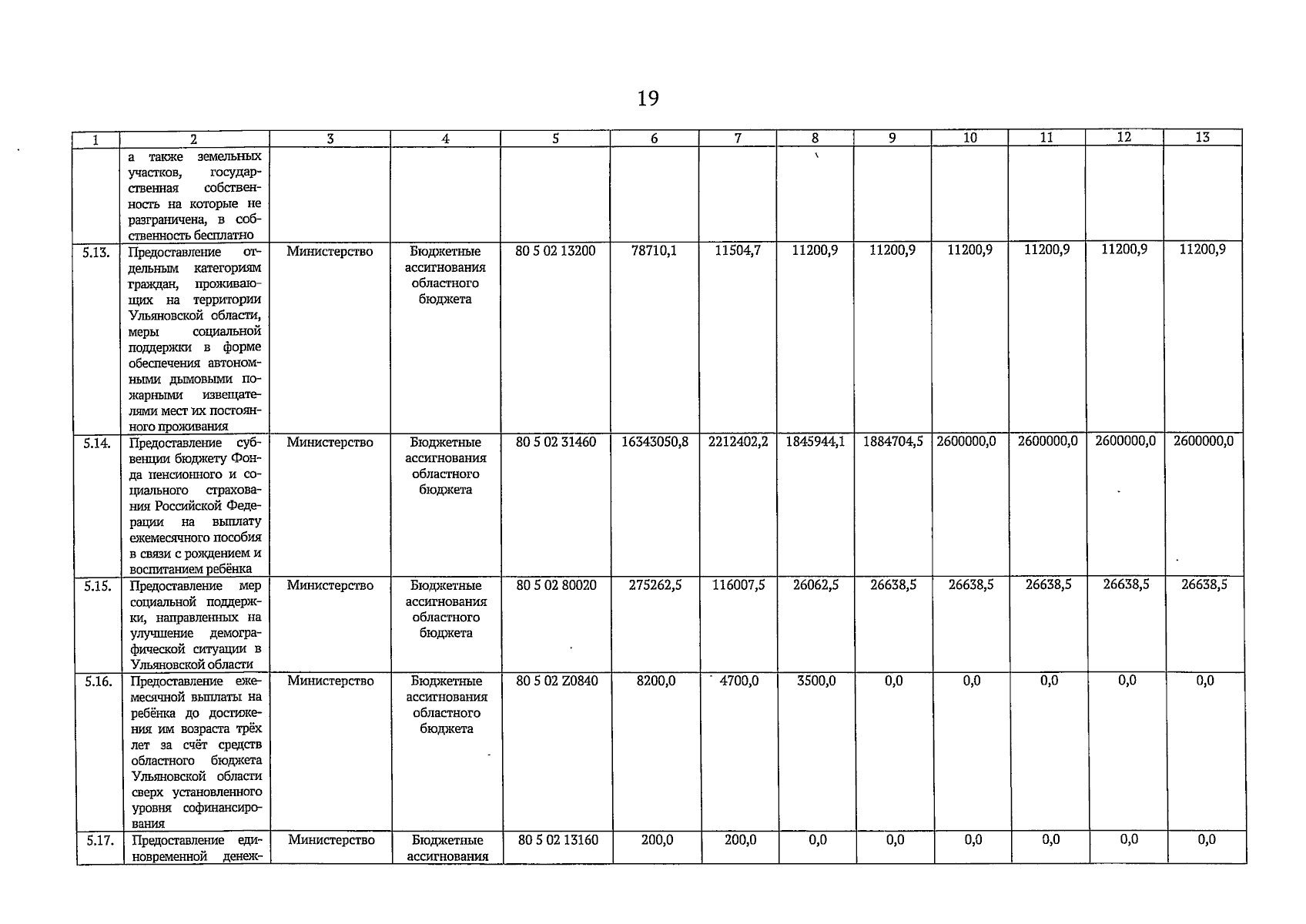
Постановление Правительства Ульяновской области от 05.02.2024 № 3/45-П
"О внесении изменений в государственную программу Ульяновской области "Социальная поддержка и защита населения на территории Ульяновской области"
Номер опубликования: 7300202402060004
Дата опубликования: 06.02.2024
Страница №20 из 31:
Увеличить