Официальное опубликование правовых актов
ОФИЦИАЛЬНОЕ ОПУБЛИКОВАНИЕ
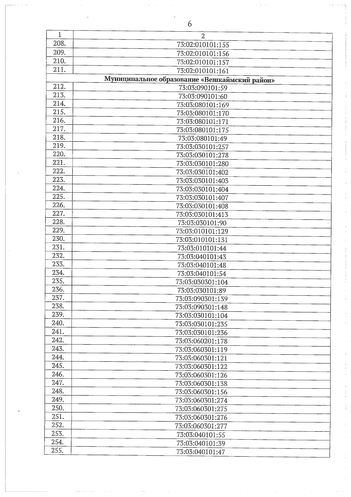
Постановление Правительства Ульяновской области от 18.10.2023 № 537-П
"О внесении изменения в постановление Правительства Ульяновской области от 22.06.2017 № 303-П"
Номер опубликования: 7300202310190003
Дата опубликования: 19.10.2023
Страница №6 из 18:
Увеличить