Официальное опубликование правовых актов
ОФИЦИАЛЬНОЕ ОПУБЛИКОВАНИЕ
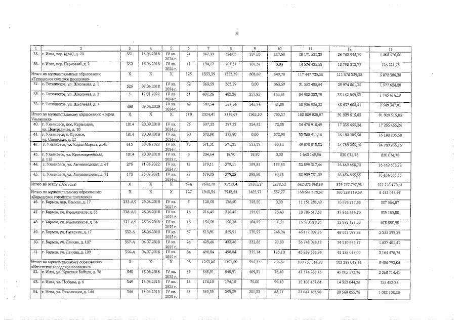
Постановление Правительства Ульяновской области от 31.05.2023 № 274-П
"О внесении изменений в постановление Правительства Ульяновской области от 21.11.2017 № 573-П и о признании утратившими силу отдельных положений постановлений Правительства Ульяновской области"
Номер опубликования: 7300202306010004
Дата опубликования: 01.06.2023
Страница №8 из 20:
Увеличить