Официальное опубликование правовых актов
ОФИЦИАЛЬНОЕ ОПУБЛИКОВАНИЕ
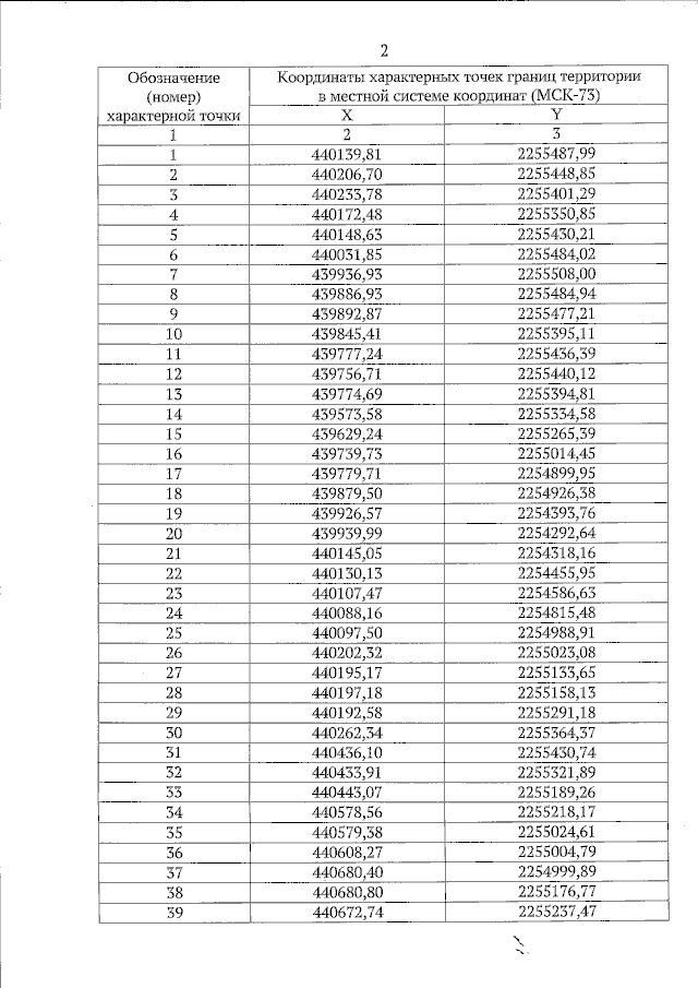
Постановление Правительства Ульяновской области от 25.05.2023 № 249-П
"Об утверждении предметов охраны, границ территорий и требований к градостроительным регламентам в границах территорий исторических поселений регионального значения, расположенных на территории Ульяновской области"
Номер опубликования: 7300202305300004
Дата опубликования: 30.05.2023
Страница №23 из 40:
Увеличить