Официальное опубликование правовых актов
ОФИЦИАЛЬНОЕ ОПУБЛИКОВАНИЕ
Постановление Правительства Ульяновской области от 08.06.2020 № 290-П
"О внесении изменений в постановление Правительства Ульяновской области от 28.03.2019 № 131-П"
(Тестовое опубликование)
Номер опубликования: 7300202006100001
Дата опубликования: 10.06.2020
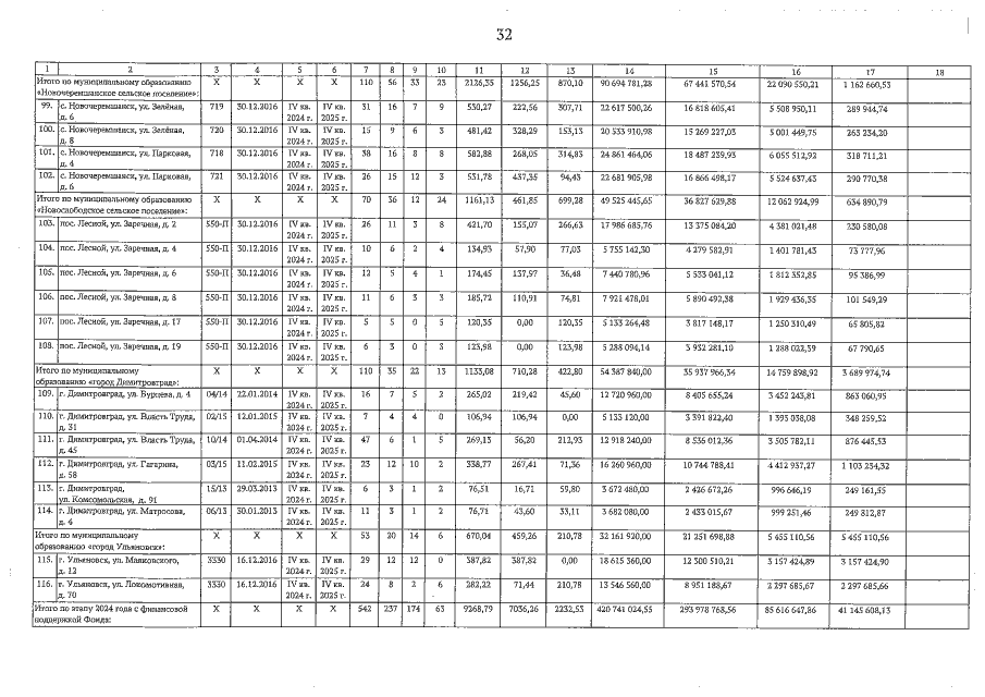
Страница №32 из 37:
Увеличить