Официальное опубликование правовых актов
ОФИЦИАЛЬНОЕ ОПУБЛИКОВАНИЕ
Постановление Правительства Ульяновской области от 16.08.2019 № 397-П
"О внесении изменений в постановление Правительства Ульяновской области от 21.11.2017 № 573-П"
Номер опубликования: 7300201908200001
Дата опубликования: 20.08.2019
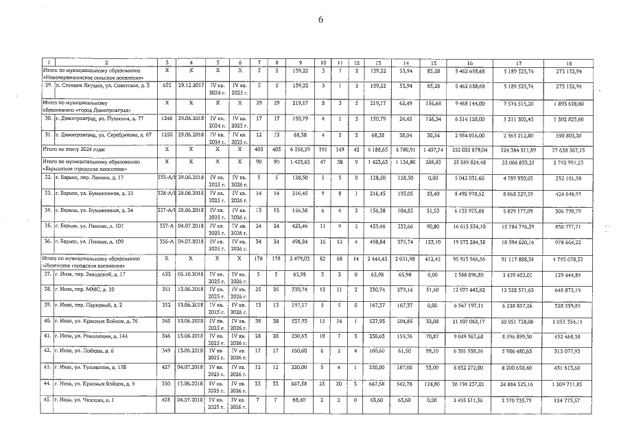
Страница №6 из 10:
Увеличить