Официальное опубликование правовых актов
ОФИЦИАЛЬНОЕ ОПУБЛИКОВАНИЕ
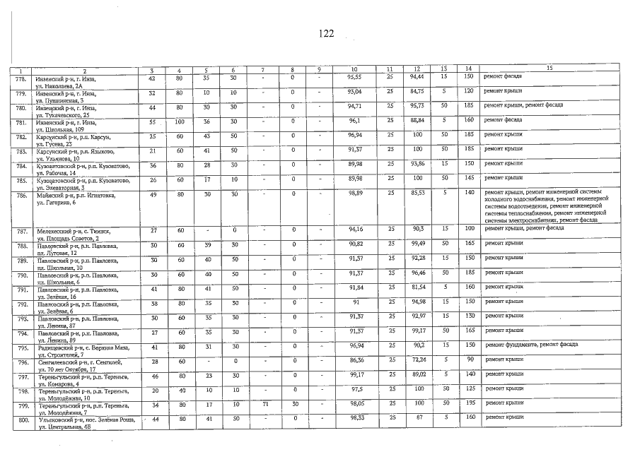
Постановление Правительства Ульяновской области от 28.06.2019 № 302-П "О внесении изменений в региональную программу капитального ремонта общего имущества в многоквартирных домах, расположенных на территории Ульяновской области, на 2014-2044 годы"
Номер опубликования: 7300201907030002
Дата опубликования: 03.07.2019
Страница №122 из 773:
Увеличить