Официальное опубликование правовых актов
ОФИЦИАЛЬНОЕ ОПУБЛИКОВАНИЕ
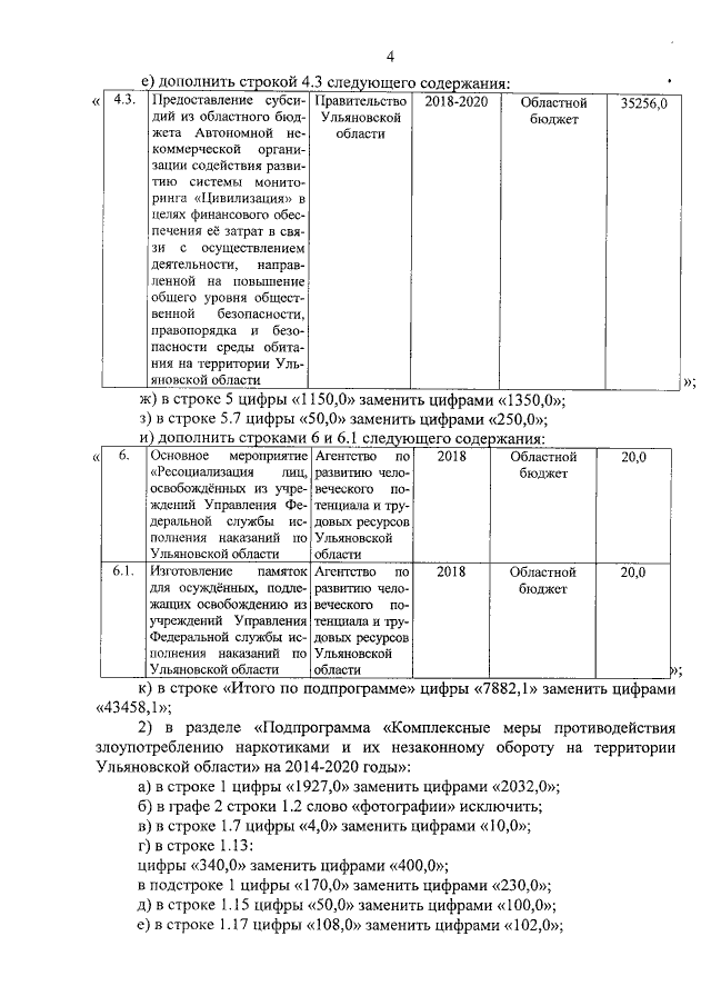
Постановление Правительства Ульяновской области от 20.10.2017 № 25/502-П "О внесении изменений в государственную программу Ульяновской области "Обеспечение правопорядка и безопасности жизнедеятельности на территории Ульяновской области" на 2014-2020 годы"
Номер опубликования: 7300201710250008
Дата опубликования: 25.10.2017
Страница №5 из 9:
Увеличить