Официальное опубликование правовых актов
ОФИЦИАЛЬНОЕ ОПУБЛИКОВАНИЕ
Постановление Правительства Ульяновской области от 20.10.2016 № 484-П
"О внесении изменений в постановление Правительства Ульяновской области от 22.05.2013 № 187-П"
Номер опубликования: 7300201610210007
Дата опубликования: 21.10.2016
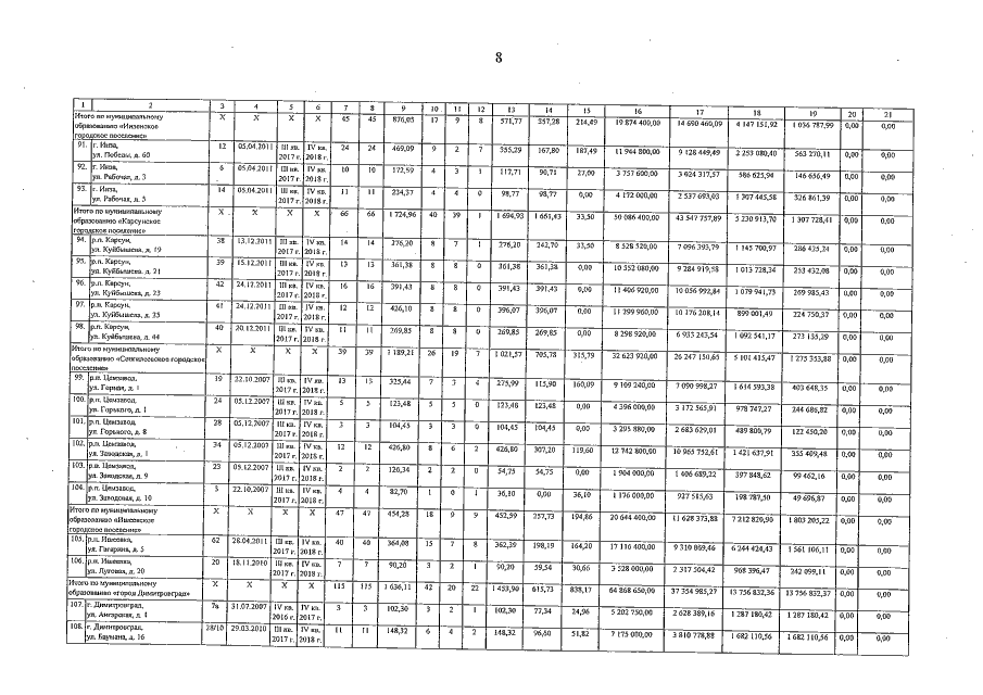
Страница №8 из 12:
Увеличить