Официальное опубликование правовых актов
ОФИЦИАЛЬНОЕ ОПУБЛИКОВАНИЕ
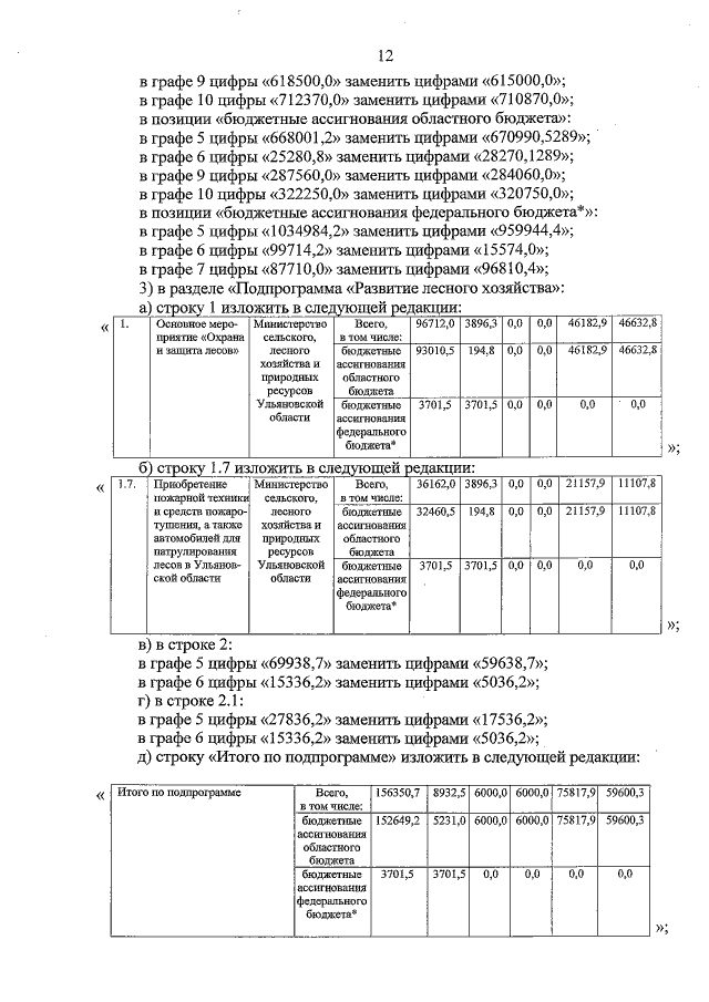
Постановление Правительства Ульяновской области от 04.05.2016 № 11/191-П
"О внесении изменений в государственную программу Ульяновской области "Охрана окружающей среды и восстановление природных ресурсов в Ульяновской области на 2014-2020 годы"
Номер опубликования: 7300201605110001
Дата опубликования: 11.05.2016
Страница №13 из 14:
Увеличить