Официальное опубликование правовых актов
ОФИЦИАЛЬНОЕ ОПУБЛИКОВАНИЕ
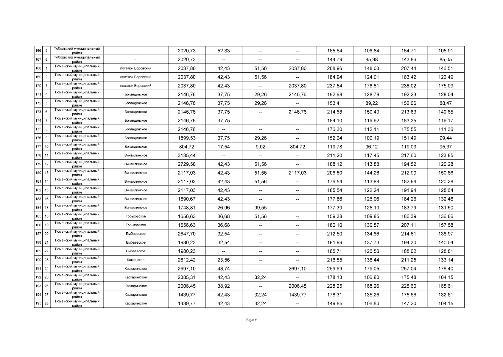
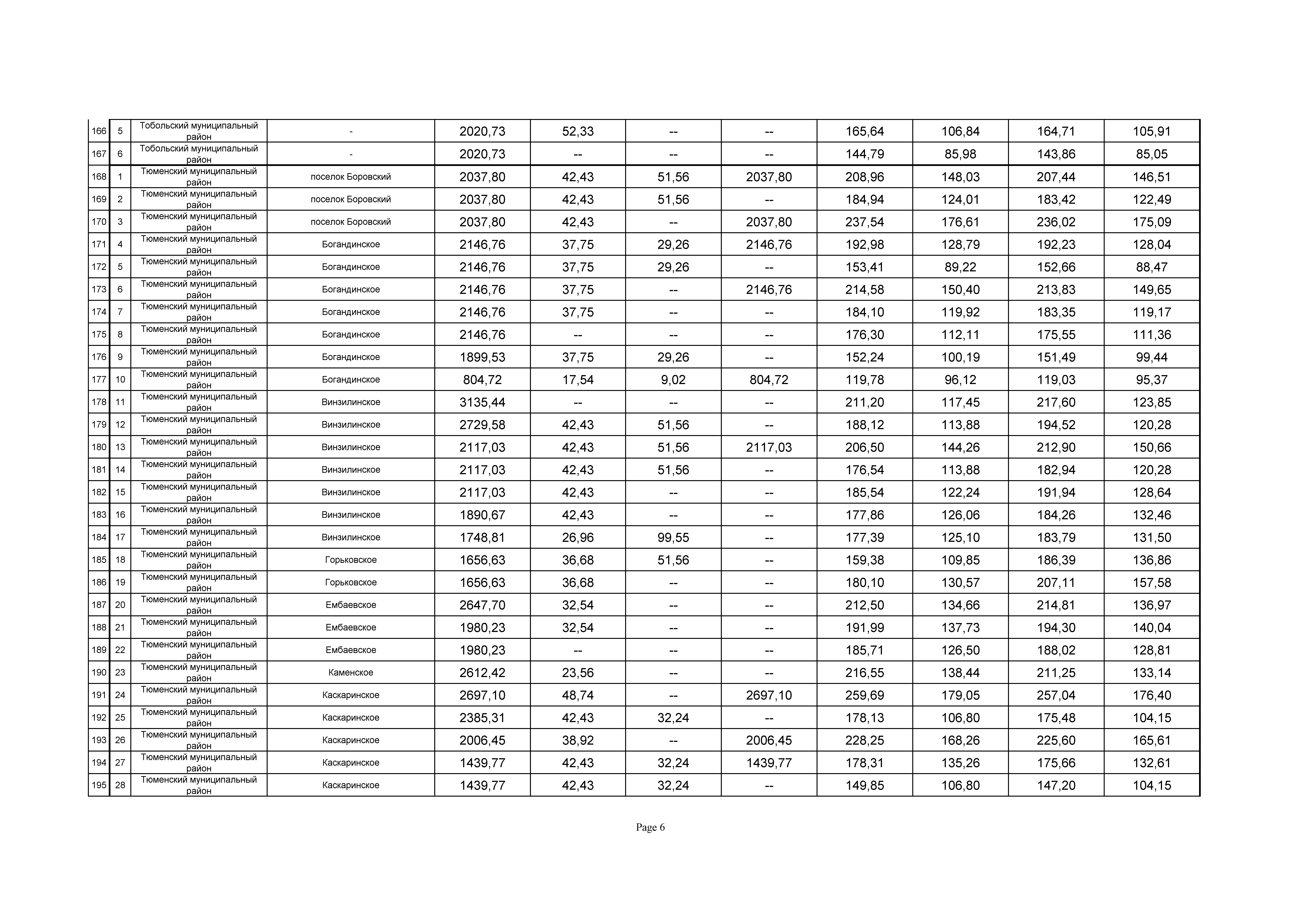
Постановление Правительства Тюменской области от 28.03.2025 № 187-п
"О региональных стандартах оплаты жилого помещения и коммунальных услуг на 2025 год"
Номер опубликования: 7200202504010036
Дата опубликования: 01.04.2025
Страница №7 из 30: