Официальное опубликование правовых актов
ОФИЦИАЛЬНОЕ ОПУБЛИКОВАНИЕ
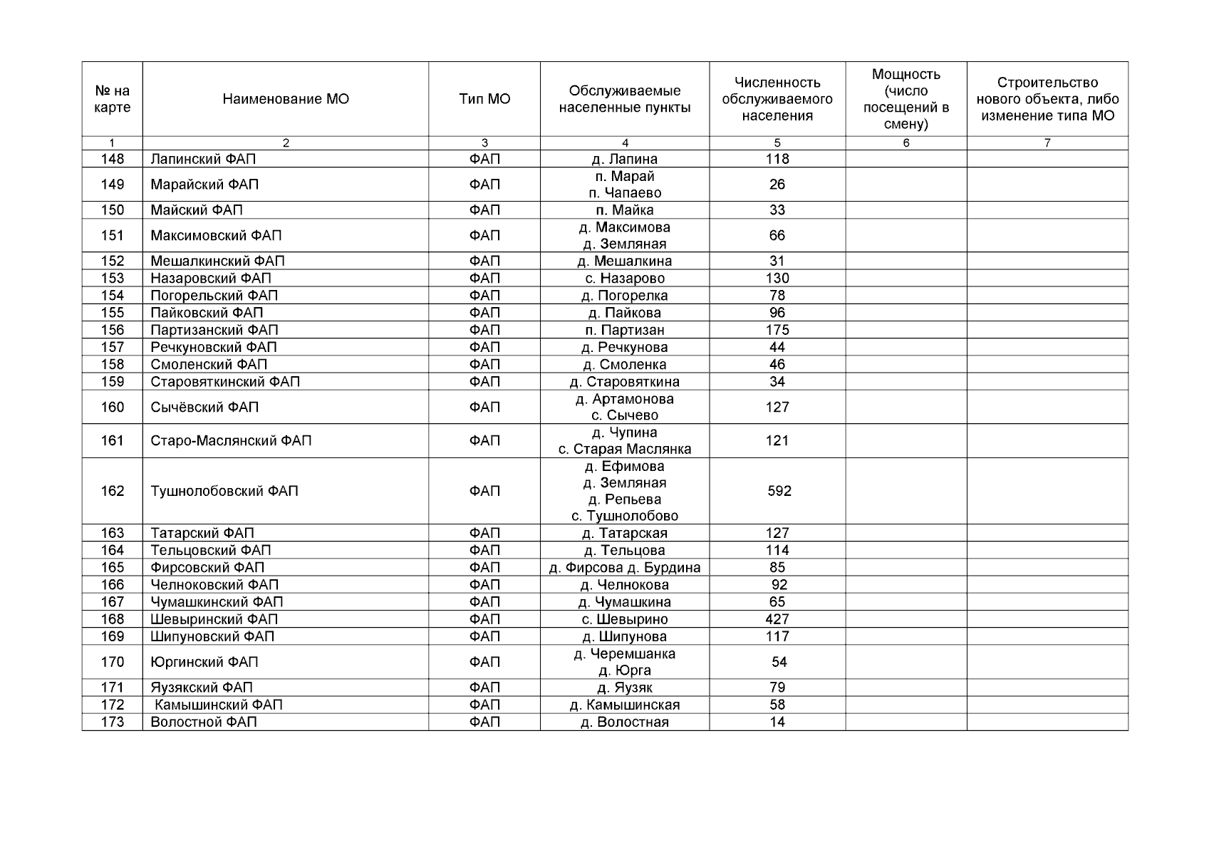
Постановление Правительства Тюменской области от 08.08.2024 № 524-п
"О внесении изменений в постановление от 15.12.2020 № 773-п"
Номер опубликования: 7200202408140026
Дата опубликования: 14.08.2024
Страница №149 из 929:
Увеличить