Официальное опубликование правовых актов
ОФИЦИАЛЬНОЕ ОПУБЛИКОВАНИЕ
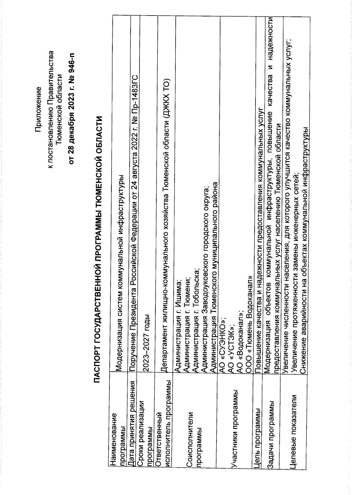
Постановление Правительства Тюменской области от 28.12.2023 № 946-п
"О внесении изменения в постановление от 03.02.2023 № 45-п"
Номер опубликования: 7200202312290017
Дата опубликования: 29.12.2023
Страница №2 из 43:
Увеличить