Официальное опубликование правовых актов
ОФИЦИАЛЬНОЕ ОПУБЛИКОВАНИЕ
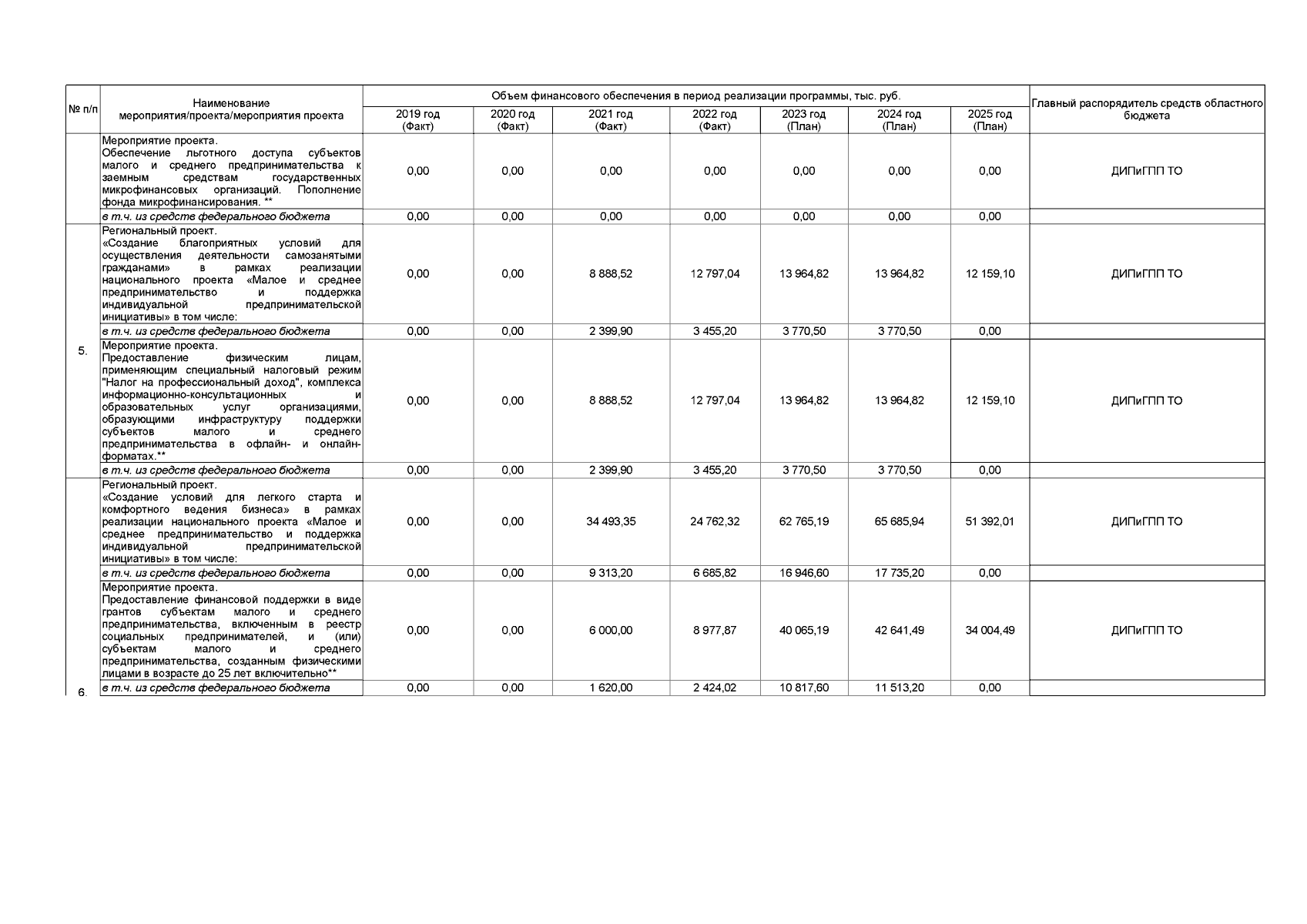
Постановление Правительства Тюменской области от 22.12.2023 № 888-п
"О внесении изменения в постановление от 14.12.2018 № 511-п"
Номер опубликования: 7200202312260018
Дата опубликования: 26.12.2023
Страница №4 из 7:
Увеличить