Официальное опубликование правовых актов
ОФИЦИАЛЬНОЕ ОПУБЛИКОВАНИЕ
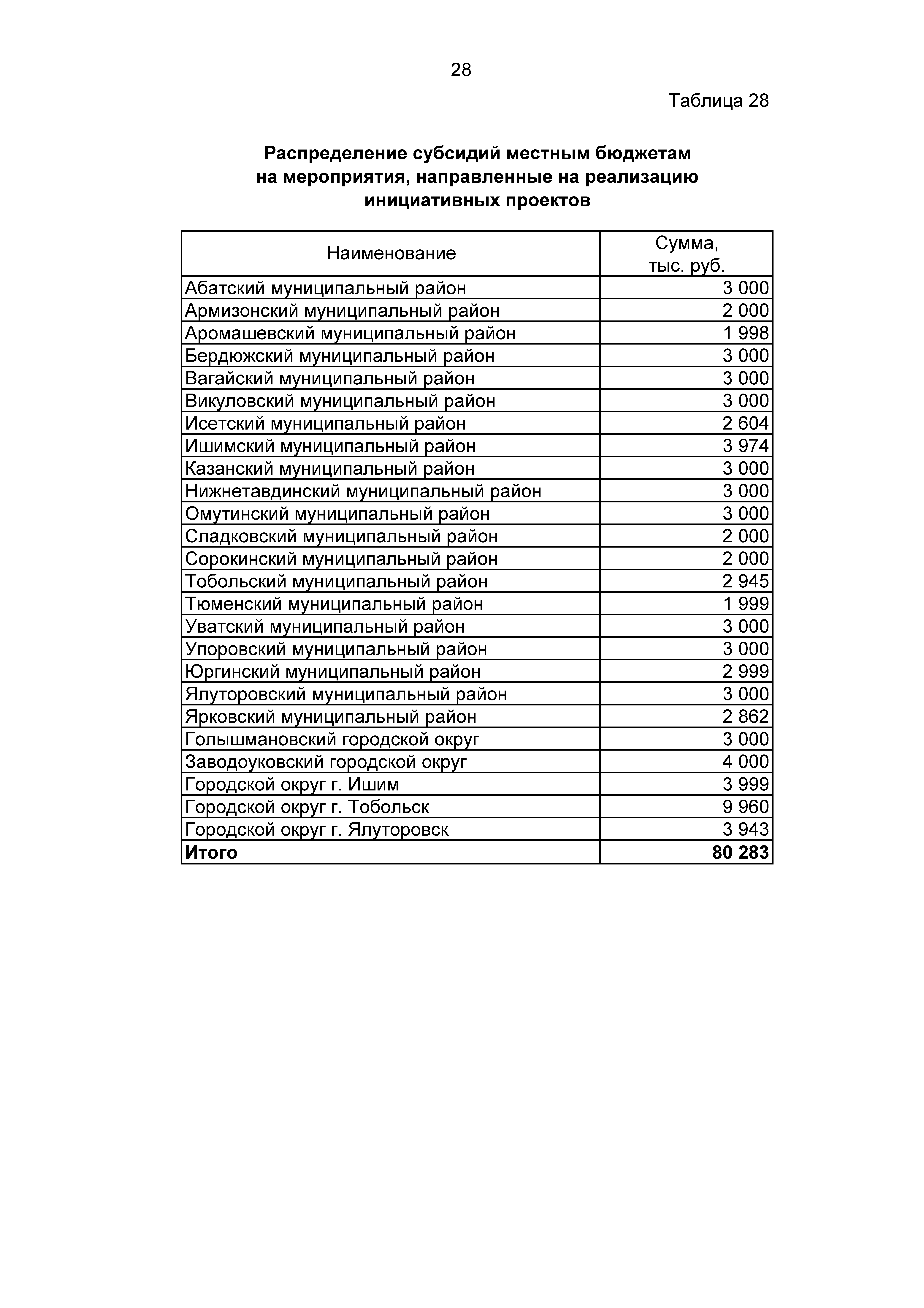
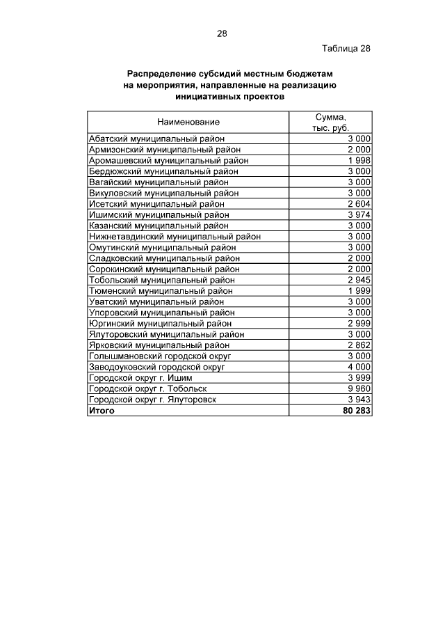
Закон Тюменской области от 01.12.2022 № 77
"Об областном бюджете на 2023 годи на плановый период 2024 и 2025 годов"
Номер опубликования: 7200202212060001
Дата опубликования: 06.12.2022
Страница №1133 из 1153: