Официальное опубликование правовых актов
ОФИЦИАЛЬНОЕ ОПУБЛИКОВАНИЕ
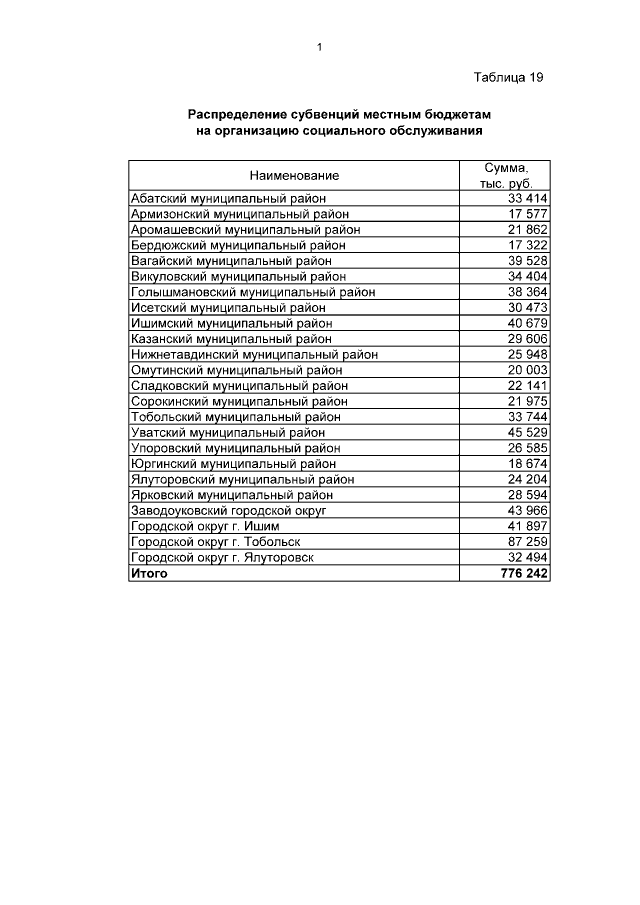
Закон Тюменской области от 21.06.2018 № 54
"О внесении изменений в Закон Тюменской области "Об областном бюджете на 2018 год и на плановый период 2019 и 2020 годов"
Номер опубликования: 7200201806210015
Дата опубликования: 21.06.2018
Страница №843 из 848: