Официальное опубликование правовых актов
ОФИЦИАЛЬНОЕ ОПУБЛИКОВАНИЕ
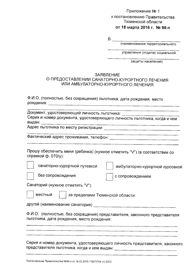
Постановление Правительства Тюменской области от 18.03.2016 № 98-п "О внесении изменений в постановление от 30.12.2010 № 394-п"
Номер опубликования: 7200201603240005
Дата опубликования: 24.03.2016
Страница №8 из 19:
Увеличить