Официальное опубликование правовых актов
ОФИЦИАЛЬНОЕ ОПУБЛИКОВАНИЕ
Постановление Губернатора Тюменской области от 11.01.2016 № 2
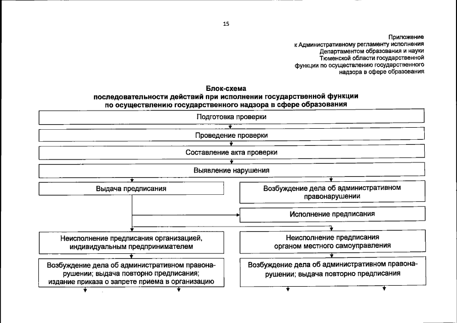
"Об утверждении административных регламентов исполнения Департаментом образования и науки Тюменской области государственных функций по осуществлению лицензионного контроля, государственного контроля качества образования, государственного надзора в сфере образования"
Номер опубликования: 7200201601110001
Дата опубликования: 11.01.2016
Страница №43 из 44:
Увеличить