Официальное опубликование правовых актов
ОФИЦИАЛЬНОЕ ОПУБЛИКОВАНИЕ
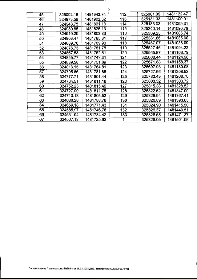
Постановление Правительства Тюменской области от 18.12.2015 № 584-п
"О памятнике природы регионального значения "Козлов мыс" в Тюменском районе"
Номер опубликования: 7200201512230024
Дата опубликования: 23.12.2015
Страница №6 из 10:
Увеличить