Официальное опубликование правовых актов
ОФИЦИАЛЬНОЕ ОПУБЛИКОВАНИЕ
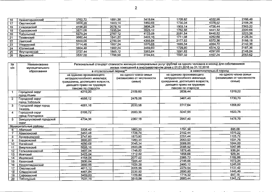
Постановление Правительства Тюменской области от 01.12.2015 № 556-п
"О региональных стандартах оплаты жилого помещения и коммунальных услуг на 2016 год"
Номер опубликования: 7200201512070001
Дата опубликования: 07.12.2015
Страница №3 из 5:
Увеличить