Официальное опубликование правовых актов
ОФИЦИАЛЬНОЕ ОПУБЛИКОВАНИЕ
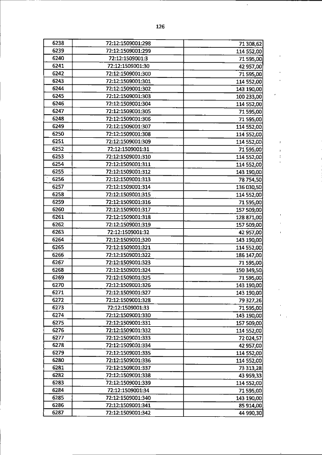
Постановление Правительства Тюменской области от 20.11.2015 № 534-п
"Об утверждении результатов определения кадастровой стоимости земельных участков, входящих в состав садоводческих, огороднических и дачных объединений Тюменской области, расположенных за границами населенных пунктов на землях сельскохозяйственного назначения"
Номер опубликования: 7200201511260001
Дата опубликования: 26.11.2015
Страница №128 из 1102:
Увеличить