Официальное опубликование правовых актов
ОФИЦИАЛЬНОЕ ОПУБЛИКОВАНИЕ
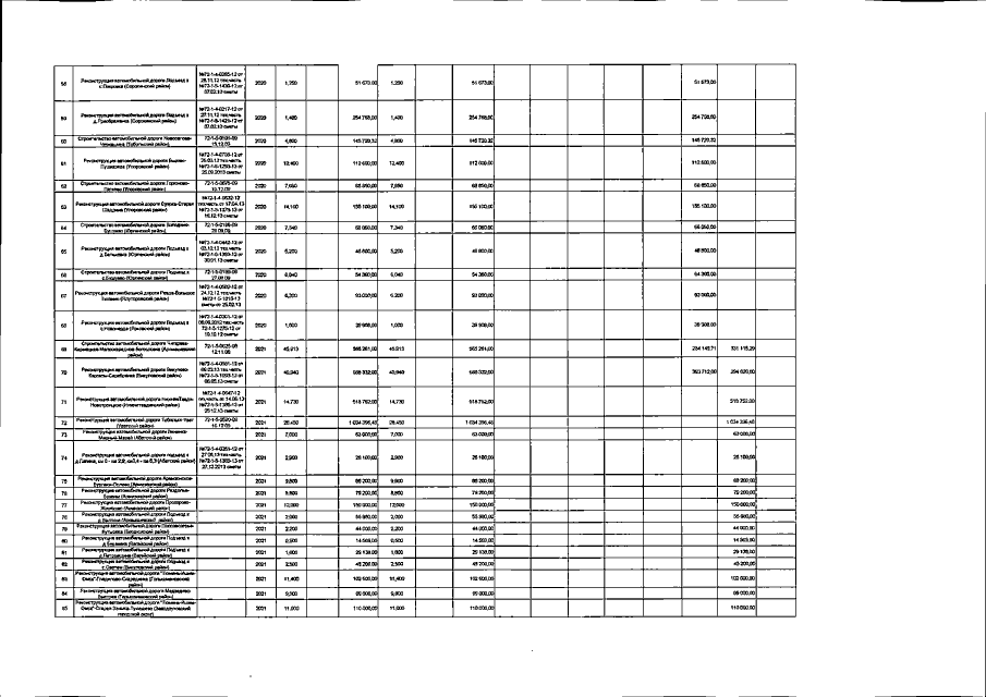
Постановление Правительства Тюменской области от 24.08.2015 № 398-п
"О внесении изменений в постановление от 30.12.2014 № 701-п"
Номер опубликования: 7200201508270009
Дата опубликования: 27.08.2015
Страница №51 из 54:
Увеличить